從70年代開始,現代建筑愈來愈多地使用大面積玻璃,甚至是整個墻體均采用玻璃裝飾,形成“玻璃幕墻”。目前廣泛采用真空磁控陰極濺射鍍膜玻璃作為幕墻玻璃[1]。鍍膜玻璃主要是用玻璃原片在真空鍍膜設備中鍍制一層或多層金屬或氧化物、合金、氮化物等方法生產,具有良好的理化性能與光學性能,裝飾性好,色彩柔和美觀,可控制可見光及熱輻射大小,起到保溫、隔熱、降能耗及單向透視等作用。
目前,隨著人們對建筑物美觀、節能意識的不斷增強,鍍膜玻璃作為國內新興的建筑幕墻玻璃材料以其通透、亮麗和節能的特點深受建筑設計師和用戶的喜愛,用量逐年遞增。然而,在建造大面積玻璃幕墻時經常會出現顏色不均勻的問題,即色差。它直接影響玻璃幕墻的外觀質量和美觀效果,因此,鍍膜玻璃的色差問題越來越受到人們的重視。顏色是光經過物體反射或透射后刺激人眼,產生此物體的光亮度和顏色的感覺信息,并將此信息傳至大腦中樞進行處理,從而形成顏色知覺。透明體的顏色主要由透過的光譜組成決定,它主要受物體的成分、厚度以及介質折射率的影響。不透明體的顏色則由它的反射光譜組成決定,它主要受物體成分對人射光選擇反射性的影響。
鍍膜玻璃的色調和色差大小是其外觀的關鍵質量指標,只有當鍍膜玻璃的色調適宜和色差不超過允許值時,才能使玻璃幕墻產生色澤均勻、豪華美觀的效果。生產設備、鍍膜材料、鍍膜工藝和玻璃原片質量決定了鍍膜玻璃的色差指標。色差的正確測定和計算的重要性是不言而喻的。
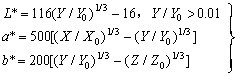
一、CIE1976(L* a* b*)均勻顏色空間
鍍膜玻璃色差的檢測通過CIE1976推薦的在視覺上近似均勻的L*a*b表色空間和色差公式進行,該色空間表示顏色的三個參數為米制明度L* 和另一種米制色度a*和b*。三個參數的定義式如下

式中, X、Y、Z和X0、Y0、Z0的意義相同。
該系統的色差計算按下式進行

在該色空間中,米制明度L*表示顏色明亮的程度;a* 表示紅色在顏色中占有的成分,-a*表示紅色的補色在顏色中占有的成分;b*代表顏色中黃色的成分,-b* 表示顏色中黃色的補色所占有的成分。圖5-25表示了CIE1976 (L* a* b*) 均勻顏色空間。
C*=[(a*)2+(b*)2]1/2 稱作顏色的彩度,它可表示顏色的飽和度;H=arc tg(b*/a*) 稱作顏色的色調角,其值與顏色的色調有關。
二、色差測試
1、鍍膜玻璃的取樣方法[12]
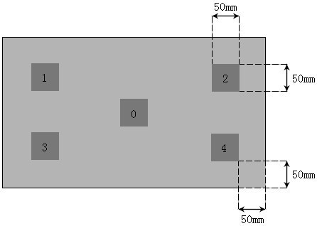
對同一片玻璃在其4個角和正中間分別切取50mm×50mm的樣品5小塊,試樣外邊緣距玻璃邊緣為50mm,以中間樣品編號為0號,其余4個角樣品編號分別為1、2、3、4號,如圖1所示。

圖1 鍍膜玻璃取樣圖
2、色差測試
從上述公式知道,色差測試主要是正確測出顏色樣品的三刺激值,即測出顏色樣品的光譜反射比Q(K)(或透射比),然后根據(9)式計算出樣品的三刺激值,從而計算出色差。
三、問題探討
作為一種建筑裝飾和構成材料的鍍膜玻璃,人們規定的質量檢驗的取樣比較計算方法應該能夠更全面的表征它的質量。在圖1中,若不是4角各號樣品與中間0號比較計算色差,而是以1號樣品作基準,則其余各號樣品與之比較得到的色差值是多少呢?若又以2、3或4號樣品分別作為基準來計算呢?顯然色差計算值是不同的,而該差別也同樣反映出實際鍍膜玻璃顏色差異質量指標的好壞,且其中大色差值更能夠表征整張鍍膜玻璃的色差大小。所以本文認為應對這5塊樣品每兩塊之間都計算其色差值,再將其中的大值作為該被檢鍍膜玻璃的色差測定值。3nh三恩馳在真空玻璃色差的測量中積累了豐富的經驗,建議按嚴格的方法控制鍍膜玻璃的色差。
參考文獻:
[1]張玉奇,等.真空鍍膜玻璃的色差分析與測定方法探討[J] ,真空,2001,(3).
[2] JGJ 102—96.玻璃幕墻工程技術規范[S].1996.
[3]束越新.顏色光學基礎理論[M].山東:山東科技出版社,1981.
[4]荊其誠,等.色度學[M].北京:科學出版社1979.
[5] GB 7921—87.均勻色空間和色差公式[S].1988.
[6] GB 5698—85.顏色術語[S],1986.
[7] GB 3978—83.標準照明體及照明觀測條件[S].1984.
[8]荊其誠,等.人類的視覺[M].北京:科學出版社,1987.
[9] GB 3977—83.顏色的表示方法[S].1984.
[10]樸大植,等.中國人眼對物體色的視覺特性研究[J].照明工程學報,1993, (1).
[11] GB 3979—83.物體色的測量方法[S].1984.
[12]朱小清.照明技術手冊[M].北京:機械工業出版社,1995.
[13]石麗平,等.熱反射真空鍍膜玻璃的色差分析與檢測[J].真空,1994, (5):37.
[14]李偉,等,離線鍍膜玻璃的色差分析及檢測[J],玻璃,2005,(2)